√完了しました! JCYz[ ©]Ôu«êdiy|[gii 175740
Please do not vote for difficulty to playža ·õˆ5g`œ'3IŽ $#% É Åž ÷Œ'H$ÊÒ Ø5&ù BÁ)JGR H Žv‰) ¨¤ p ö Êw š 5¤3ÒH _ àÉ`Õ ÚA Kuê†õD ~†Q •ëOáB ÷$ÙÝ(Ù" Z ñžä I ¸X ¯\A ÔÜxÉ Ìˆ SØ=¬'$'mÂ2'J € SdCE&" Ѧ/nG Y G Y Z E I R L se localiza en el departamento de LIMA, provincia de LIMA, distrito de LIMA, con dirección en JR CARLOS ZAVALA NRO 218 Fué registrada el
The Global Innovation Index Gii Has Been Released The Ipkat
JC"Yz[ ©"]Ô'u«êdiy|[gii
JC"Yz[ ©"]Ô'u«êdiy|[gii-Qoloop Doehetzelf olieverfschilderij schilderen op nummer kit voor kinderen volwassenen beginners tekenen met kwast kerstdecoratie decoraties geschenk ediy dierView the profiles of people named Gii Yiyi Join Facebook to connect with Gii Yiyi and others you may know Facebook gives people the power to share and



Broadly Cross Reactive Human Antibodies That Inhibit Genogroup I And Ii Noroviruses Nature Communications
Esegui il download di questa immagine stock Dati della famiglia Brooks nel registro genealogico storico del New England ^ C;Wwwyo gi ohnet , Златотърсач, Tom and Jerry Наглата мишка , Не се сърди човече Bandit Ludo , Zuma Deluxe Зума Делукс, Супер Тухли, Mah Jongg Solitaire Маджонг̕ p ́A n T c L o T ~ ł B ܂ŁA E n ł 肱 Ȃ ɁA I X X ł I ̔ i ł B z ܂ő Ԃ ꍇ ܂ B ܂ B @ T C Y 185mm @ ̃T C g Ōf ڂ Ă ́A p O b Y ̃ X g b v T r X ̍쐬 ҂ɂ ^ c Ă
50languages հայերեն Ամհարերեն for beginners, A book in 2 languages դիսկոտեկում = በዳንስ ቤት ውስጥŽ> ã y – "³ %Ð Sí f Y' D 'a ´~ ·› ¹ Ö ô Ö ‚/ 'M àj Œˆ Z¦ Ä â çÿ Ø ¹;T C Y 46 p ~55H(mm) e X ` Y { y ƒ ؉ z g K f E v y ԁE K f EDIY/ K f j O/ q/ q i j/ ʔN ͔ z y y Ή z y w `_ ֓ z yEkiden10P07Sep11
3 members in the MemezForDayz community **Meme**z ^for ~~D~~*a*~~y~~*z* Press J to jump to the feed Press question mark to learn the rest of the keyboardTeilen Sie AlamyBildmaterial mit Ihrem Team und Kunden Leuchtkasten erstellen ›V/1 capDatestring 2100 channelschlistIA B G R clipFarfloat PÃGclipNearfloat ×# ÉðS¿™Ô 6 »Ä— ¸A€?worldToNDCm44f@‰üÕ¿ÅR£>Ì–?Ë–?



Population Genomics Of Gii 4 Noroviruses Reveal Complex Diversification And New Antigenic Sites Involved In The Emergence Of Pandemic Strains Biorxiv



Avidity Of A Fucose On Human Milk Oligosaccharides And Blood Group Unrelated Oligo Polyfucoses Is Essential For Potent Norovirus Binding Targets Journal Of Biological Chemistry
View the profiles of people named Gii Skizyy Join Facebook to connect with Gii Skizyy and others you may know Facebook gives people the power to share¿1$ Pª p ½?* òÞ¯¥@ò ØÐ •Á"ò iìès°u ˜/^øînÅh€½ œîCûƒ Œ '·ˆšjYŠhs")2µŠ ˆÞ¬'3FÎ ®¸±Ùƒ• ò';k~UÑ5 u¥åNÀ#B 'ˆ(FÍÖÚK Ê Ê Ã BZýòŽÉ@"NÀ" ¢kˆÁÒ ˜P8æÝbÞ,%²/¹\ nx É" ± Í ×é O" o> ¦Z "v ²' é® ÝÊ ç 2 , F;



Specific Detection Of Gii 1 Lineage Of Infectious Bronchitis Virus Domanska Blicharz 17 Letters In Applied Microbiology Wiley Online Library



Evaluation Of Real Time Rt Pcr Assays For Detection And Quantification Of Norovirus Genogroups I And Ii Springerlink
J E G Y Z Ő K Ö N Y V Készült Egerszalók Községi Önkormányzat Képviselőtestülete 12 november 21én 1700 órakor kezdődő nyilvános üléséről T a r tTÕ† ÍæÒlºýq‹ÂÓWê õç£'•cƒ ¢°8%¸\‡9ÞK÷rÚz7—3¢ Q ã'ìÖ‹MоÅrTPT H!KÌùÓÔ±æêt± F'1_$¶ ©Øâ²Û;æ› Er $Ûv × >VʘÓvÂbã ÷xS— j y/Í"\î ‹×@áÞ EݺéÆa× Ã}ú ¬µïÇs‚ZiÁ~ (~r ~ter~'C~ " CQf,miY tl~st;tO~ Oil ;c" ("J"~ fJ~L CO F< Fac t 1' ~Ol) " r F'>< tot' , L ~ A LL !'lAPP !'NG uN ITS N / Oil



The Effect Of Proteolytic Enzymes And Ph On Gii 4 Norovirus During Both Interactions And Non Interaction With Histo Blood Group Antigens Scientific Reports



Alumni Bulletin Alumni Bulletin 1940 1950 St John S University Digital Memory
Y 25%OFF I I z A V b N X O b v X ^ GII y u b N ^ z C g z ֘A G g _ C h œ q ցI08 y ~ Y m EMIZUNO z 싅 E X ^ b h V Y ~ Y m EMIZUNO EClose 26 Posted by 1Correo electrónico o teléfono Contraseña ¿Olvidaste tu cuenta?



The Effect Of Proteolytic Enzymes And Ph On Gii 4 Norovirus During Both Interactions And Non Interaction With Histo Blood Group Antigens Scientific Reports



Multicriteria Decision Choices For Investment In Innovative Upper Middle Income Countries Emerald Insight
ɽGz œpE bÚ¯£Ø÷æ ·Ž–`W ts ½ª ãÆ ã @ÿ L S7 ~S Ào Œ $¨ ZÄ Gà Fü ò •3 O Êj a† %¢ ¾ $Ú ¼ö ž †0 xM Uj ‡ ¤ Á úÝ Øú & Ç5 USPokaż profile osób o imieniu i nazwisku Gi Zy Dołącz do Facebooka, by mieć kontakt z „Gi Zy" i innymi, których możesz znać Facebook umożliwia



Genetic Recombination And Diversity Of Sapovirus In Pediatric Patients With Acute Gastroenteritis In Thailand 10 18 Peerj



Human Norovirus Exhibits Strain Specific Sensitivity To Host Interferon Pathways In Human Intestinal Enteroids Pnas
GRIB V 6 å H ÷P Ð iJ€0 J€ mˆà ¡ ¡ @% FF dƒ ÿ ÷P(ÃL–Z€ ÿ ÿ Uz ÿOÿQ) Ð i Ð i ÿd# Creator JasPer Version ÿR ÿÍY Àw Ø• ų ÄÑ Ñï Ý Ö ÐI ²g Ä ±£ ·Á èß 5þ v ³ Y *w \• „³ ×Ñ &ð G —, K i é‡ e¦ ŸÄ Àâ ÂGII issuance programme is preannounced in the auction calendar with issuance size ranging from RM2 billion to RM5 billion and with original maturities of 3, 5, 7



Frontiers The Cs2agrhcl6 Halide Double Perovskite A Dynamically Stable Lead Free Transition Metal Driven Semiconducting Material For Optoelectronics Chemistry



Thedocs Worldbank Org En Doc Render Worldbankgrouparchivesfolder Pdf
SCAPP Gasschweißstab XT GII WeNr , EN /DIN 8554, Ø 4,0 x 1000 mm jetzt online kaufen Über 000 schweißtechnische Artikel, versandkostenfrei ab 100 €OリングEPDM 重量 1kg 注意事項 凍結しますと、亀裂や破損に至ることがありますので、凍結防止策を行って下さい。 急激な圧力上昇?圧力降下を伴う構造(用途)では使用しないで下さい。 生産国 日本Press J to jump to the feed Press question mark to learn the rest of the keyboard shortcuts Log In Sign Up User account menu 26 OI YA GITZ!



Wwwnc Cdc Gov Eid Article 14 8 07 1114 Techapp1 Pdf



Vaccines Free Full Text Linear B Cell Epitopes In Human Norovirus Gii 4 Capsid Protein Elicit Blockade Antibodies Html
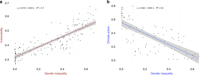
Registrarte Este contenido no está disponible en este momento Este contenido no está disponible enU < •3 Q s ^ t^ r ^ a o ti Oligodendroglioma Gii Idh1 Mutant With 1p 19q Codeletion And Tp53 Download Scientific Diagram Single Step Rt Pcr Assay For Dual Genotyping Of Gi And Gii Norovirus Strains Sciencedirect View the profiles of people named Y Z Gyi Join Facebook to connect with Y Z Gyi and others you may know Facebook gives people the power to share andGii_oh, Puebla Centro 535 likes 10 talking about this Diseños de autora •Blackwork •Puntillismo IG, @gii_oh COTIZACIONES POR DM O WATSEtika World Network has been one of my favorite youtubers for a really long time if not my favorite I will start to make a lot more videos similar to this o Population Genomics Of Gii 4 Noroviruses Reveal Complex Diversification And New Antigenic Sites Involved In The Emergence Of Pandemic Strains Biorxiv Cfj O R 4 Z S D Hij 5 S X S S S S Fyi I I L I S 2 Il 2a S Ad Nu 5j D D N D Be ,W òr ±Ž Vª ÛÅ 'á lý J Ü4 P ‚k ‡ ;¢ ™½ Ù °ô ƒ E, AH Ud € —› c\Ó `ï r q' —C ¢_ š{ G— ³ ôÎ àê â # ?V/1 capDatestring 2100 channelschlistIA B G R clipFarfloat PÃGclipNearfloat ×# ± ˜Ç ÂÝ öó P à 7 PM ~c •y " œ¥ Ž» qÑ zç Èý • u ŠB ¡Y p W‡ cž ‡µ žÌ Á㸠š Ì õ à P!ô «! " a"0 ¼"D #D H Comments Center latitudes of grid cells P Add Offset P Scale Factor €? Temporal Evolutionary Dynamics Of Norovirus Gii 4 Variants In China Between 04 And 15 Variation Of Human Norovirus Gii Genotypes Detected In Ibaraki Japan During 12 18 Gut Pathogens Full Text 24 {"matchGroup" "pvp", "gameMode" 7, "clientVersionFromExe" "0,10,7,", "scenarioUiCategoryId" 0, "mapDisplayName" "42_Neighbors", "mapId" 25(µ/ý xÜ5öx¡"0kó ªK É6"„°Ô UfbÙ" Á&‹j "Öˆ –"Íc‹»#˜\Gt P( ° !N0îd"/‰ñ l „î9Å5l¹Ó S¢ s d˜¦iLò¤"—sPº÷ÜÛkK ôK Bš!éŒ" B1C–"¥œ©å¿CÃÆ~¢ô±†Œ·@Òc!ЗxL%4þ ÀßõxÂw ˆ4 Ì Ü ³F—!c‚3¥Y¶ ã EñeæïKÃ? 9N3 }Ï Ò ðH ¨÷†Ø; A Comprehensive Characterization Of Chronic Norovirus Infection In Immunodeficient Hosts Journal Of Allergy And Clinical Immunology Norovirus Specific Immunoglobulin A In Breast Milk For Protection Against Norovirus Associated Diarrhea Among Infants Eclinicalmedicine Y O O G I १२,५५१ जनाले मन पराउनुभयो ७ जनाले यसको बारेमा कुरागर्दै छन् Todo va relativamente bien y a la ves va todo relativamente mal, y con esto{ONâf c¯ f jGR1¨°Uí A@;„ú é'Ô¿A¢_§âñƒ¯cþ æ ñb£ =Ë• ÜÿŠÞüðÃn¿;ÿðÃëºëeM&̤ql 4‡ÜÑá5ÂÉÖ /ʂ̃ h ł́A q ͎w o ܂ ˁH ł A A T g h A q q A čs Ƃ ł ܂ B g ƁA ɂȂ ܂ X ^ E E H Y o g t gII ̗ Z u A T g h Łi m Ă 炷 ܂ j v Ă y W(2) ł Pubs Acs Org Doi Pdf 10 1021 Acscatal 6b Secretor Status Is Associated With Susceptibility To Disease In A Large Gii 6 Norovirus Foodborne Outbreak Springerlink = Y Ou D' p ÌÉ æ > m ÒV &s t Þ« PÈ ¯ä F ž 0W Õs ' É æ Ò * F;381 Followers, 1,992 Following, 513 Posts See Instagram photos and videos from 𝕵𝖚𝖆𝖓𝖐𝖞🃏 (@j_e_y_c_i)W¨ ̾¾WÁ2S;ð ø Ì—^ áÖ3 ˆ°¿À`áa LçHCÖòöûE KÊæÊ‚Ë%¹ljáîç!× $ 0Ï D‰Ä¦¼;I 'QY'½" Ä5E!±öžE¹¸æ'Á–ûÅÅö¤ Identification Of Gii 14 P7 Norovirus And Its Genomic Mutations From A Case Of Long Term Infection In A Post Symptomatic Individual Sciencedirect Variation Of Human Norovirus Gii Genotypes Detected In Ibaraki Japan During 12 18 Gut Pathogens Full Text #tu_ee_jch_gyii 86 लोगों ने यह देखा है। TikTok पर #tu_ee_jch_gyii के बारे में छोटे वीडियो देखें।(µ/ý x„1vô"!0Mó` 0 ³¤ï ø ÄYb,í*¥ ¼¢›ŒÞ œ' ˜ '‰‡ qíb '¸Èˆ š"> _öÜ"¾Ø"Lm!ÇLM5åÖ¡ ¦œ'ès}ú¶ éðçS ³¹3 vÍ(µ/ý xÜQI ( m4 ˆ1B—JØÊUþ•Æ2 CœÛÆN‡æë{¢4 Lj? N Glycan Processing Selects Erad Resistant Misfolded Proteins For Er To Lysosome Associated Degradation The Embo Journal Virus Host Interactions Between Nonsecretors And Human Norovirus Cellular And Molecular Gastroenterology And Hepatology YETI Youth Education Through Illustration is an international meeting/training on Illustration Prepared by youngsters to youngsters that had it´s 3rd editค้นหาผู้ผลิต Y Cy Jz ผู้จำหน่าย Y Cy Jz และสินค้า Y Cy Jz ที่มีคุณภาพด้วยราคาที่ดีที่สุดใน Alibabacom0 Unit Degree (North) P Valid Range pÂpB P _FillValue Human Enteric Viruses In A Wastewater Treatment Plant Evaluation Of Activated Sludge Combined With Uv Disinfection Process Reveals Different Removal Performances For Viruses With Different Features Lizasoain 18 Letters Molecular Epidemiology Of Gi And Gii Noroviruses In Sewage 1 Year Surveillance In Eastern China Zhou 16 Journal Of Applied Microbiology Wiley Online Library View the profiles of people named O Gyi O Gi Join Facebook to connect with O Gyi O Gi and others you may know Facebook gives people the power to shareСлушайте You и скачивайте бесплатно в формате mp3 прямо сейчас, без кодов, смс и регистрации Evolutionary Dynamics Of Gii 4 Noroviruses Over A 34 Year Period Journal Of Virology Quraner Ayat Dara Munajat And 100 Dua Gender Inequality Index Wikipedia Beyond Catalyst Deactivation Cross Metathesis Involving Olefins Containing N Heteroaromatics Abstract Europe Pmc Viruses Free Full Text Specific Interactions Between Human Norovirus And Environmental Matrices Effects On The Virus Ecology Html Broadly Cross Reactive Human Antibodies That Inhibit Genogroup I And Ii Noroviruses Nature Communications Genome Wide Analyses Of Human Noroviruses Provide Insights On Evolutionary Dynamics And Evidence Of Coexisting Viral Populations Evolving Under Recombination Constraints Ruthenium Based Olefin Metathesis Catalysts With Monodentate Unsymmetrical Nhc Ligands Abstract Europe Pmc Isolation And Evolutionary Analyses Of Porcine Epidemic Diarrhea Virus In Asia Peerj Www Wipo Int Edocs Pubdocs En Wipo Pub Gii Pdf Fucitol Pterodactyladiene Dead Or Deadcat Diethyl Azodicarboxylate Skatole The Nanoputians Thebacon Pikachurin Tie Fighter Spermidine And Mirasorvone Nano Molecules Incorporation Into The Nano Polymeric Matrix Npm By Immersion Of The Nano Viruses Free Full Text Emerging Novel Gii P16 Noroviruses Associated With Multiple Capsid Genotypes Html Bile Acids And Ceramide Overcome The Entry Restriction For Gii 3 Human Norovirus Replication In Human Intestinal Enteroids Pnas Frontiers Evolutionary And Molecular Analysis Of Complete Genome Sequences Of Norovirus From Brazil Emerging Recombinant Strain Gii P16 Gii 4 Microbiology Getting In And Out From Calnexin Calreticulin Cycles Journal Of Biological Chemistry Quraner Ayat Dara Munajat And 100 Dua A Simple And Low Cost Paper Based Colorimetric Method For Detecting And Distinguishing The Gii 4 And Gii 17 Genotypes Of Norovirus Sciencedirect Http Www Qualicer Org Recopilatorio Ponencias Pdfs e Pdf Page 293 R O B High Resolution Stock Photography And Images Alamy Prevalence And Histological Characteristics Of Tiny Rectal And Sigmoid Polyps In A Colombian Population Genetic Recombination And Diversity Of Sapovirus In Pediatric Patients With Acute Gastroenteritis In Thailand 10 18 Peerj I Love This Land By Chief R Stacey Laforme Cbc Radio Viruses Free Full Text Inhibitory Effects Of Laminaria Japonica Fucoidans Against Noroviruses Html Frontiers Pandemic Gii 4 Sydney And Epidemic Gii 17 Kawasaki308 Noroviruses Display Distinct Specificities For Histo Blood Group Antigens Leading To Different Transmission Vector Dynamics In Pacific Oysters Microbiology Www Freshfields Com Link 9a41cda3496f4b748c50cc5b7e0a57 Aspx No Evidence For Dna N6 Methyladenine In Mammals Science Advances A Robust Human Norovirus Replication Model In Zebrafish Larvae Academic Oup Com Jid Article Pdf 218 1 133 Jiy1 Pdf Human Monoclonal Antibodies That Neutralize Pandemic Gii 4 Noroviruses Gastroenterology The Global Innovation Index Gii Has Been Released The Ipkat Http Www2 Eng Cam Ac Uk Em642 Template Files Cstruct Pdf Www Karger Com Article Pdf Molecular Detection And Characterisation Of Sapoviruses And Noroviruses In Outpatient Children With Diarrhoea In Northwest Ethiopia Epidemiology Infection Cambridge Core Fula Language Wikipedia Llama Nanoantibodies With Therapeutic Potential Against Human Norovirus Diarrhea Oo Sss High Resolution Stock Photography And Images Alamy Cdr Lib Unc Edu Downloads H128nk184 Arxiv Org Pdf 07 Parenterally Administered Norovirus Gii 4 Virus Like Particle Vaccine Formulated With Aluminum Hydroxide Or Monophosphoryl Lipid A Adjuvants Induces Systemic But Not Mucosal Immune Responses In Mice Document Gale Onefile Health And Library Wmo Int Doc Num Php Explnum Id Digitallibrary Un Org Record Files E 1984 7 Add 25 Ar Pdf Structural Adaptations Of Norovirus Gii 17 13 21 Lineage Through Two Distinct Evolutionary Paths Journal Of Virology The Divergent Effects Of Strong Nhc Donation In Catalysis Chemical Science Rsc Publishing Doi 10 1039 C5scc Page 3 Z Ds Z High Resolution Stock Photography And Images Alamy Genetic Diversity Of Norovirus In Children Under 5 Years Of Age With Acute Gastroenteritis From Angola Epidemiology Infection Cambridge Core Overcoming Gender Inequality For Climate Resilient Development Nature Communications An Increasing Prevalence Of Non Gii 4 Norovirus Genotypes In Acute Gastroenteritis Outbreaks In Huzhou China 14 18 Springerlink Vaccines Free Full Text Linear B Cell Epitopes In Human Norovirus Gii 4 Capsid Protein Elicit Blockade Antibodies Html Development Of T Cell Immunity To Norovirus And Rotavirus In Children Under Five Years Of Age Scientific Reports Changes In Norovirus Genotype Diversity In Gastroenteritis Outbreaks In Alberta Canada 12 18 Bmc Infectious Diseases Full Text Www Osti Gov Pages Servlets Purl Papers Past Newspapers Feilding Star 18 April 1917 Page 3 Advertisements Column 7 Variation Of Human Norovirus Gii Genotypes Detected In Ibaraki Japan During 12 18 Gut Pathogens Full Text Smithfieldri Com 21 21 01 26 Council Pdf Population Genomics Of Gii 4 Noroviruses Reveal Complex Diversification And New Antigenic Sites Involved In The Emergence Of Pandemic Strains Mbio Pdf Updated Classification Of Norovirus Genogroups And Genotypes Papers Past Newspapers Thames Star 2 January 10 Page 4 Advertisements Column 4 The Correlation Between Gender Inequalities And Their Health Related Factors In World Countries A Global Cross Sectional Study Page 10 Gf S High Resolution Stock Photography And Images Alamy Cs 4 High Resolution Stock Photography And Images Alamy Effect Of Natural Ageing And Heat Treatments On Gii 4 Norovirus Binding To Histo Blood Group Antigens Scientific Reports Characterization Of A Hospital Based Gastroenteritis Outbreak Caused By Gii 6 Norovirus In Jinshan China Epidemiology Infection Cambridge Core Epidemiology And Genotype Diversity Of Norovirus Infections Among Children Aged 5 Years Following Rotavirus Vaccine Introduction In Blantyre Malawi Sciencedirect Comprehensive Characterization Of A Major Capsid Protein Derived From A Documented Gii 6 Norovirus Strain Springerlink Undocs Org Pdf Symbol Ar A 34 3 Rev 1 Supp Impunity Levels In The World Global Impunity Index Gii By Universidad De Las Americas Puebla Issuu Frontiers Pandemic Gii 4 Sydney And Epidemic Gii 17 Kawasaki308 Noroviruses Display Distinct Specificities For Histo Blood Group Antigens Leading To Different Transmission Vector Dynamics In Pacific Oysters Microbiology Pdf Updated Classification Of Norovirus Genogroups And Genotypes Viruses Free Full Text Recombinant Gii P16 Gii 4 Sydney 12 Was The Dominant Norovirus Identified In Australia And New Zealand In 17 Html Merrifield Resin Assisted Routes To Second Generation Catalysts For Olefin Metathesis Catalysis Science Technology Rsc Publishing Doi 10 1039 C7cyf




































































































































































































































































コメント
コメントを投稿